Zabytek.pl
M25 - mapa obszaru AZP 1:25 000
Obszar AZP: 022-045
Data dokumentu: 1982-11-25
Zasób: Ewidencja zabytków archeologicznych
Identyfikator: PL.1.9.ZIPOZ.NID_A__EA.32063
Dodaj do kolekcji
Data dokumentu: 1982-11-25
Zasób: Ewidencja zabytków archeologicznych
Identyfikator: PL.1.9.ZIPOZ.NID_A__EA.32063
Licencje
domena publiczna Aby dodawać lub przeglądać notatki musisz się zalogować.
Nie masz jeszcze konta? Zarejestruj się
-
KEZA
2 -
KEZA
2 -
M25 - mapa obszaru AZP 1:25 000
2 -
M25 - mapa obszaru AZP 1:25 000
1 -
spr - sprawozdanie z badań
3 -
nob - spis stanowisk wg numerów na obszarze
3 -
alf - spis stanowisk alfabetyczny
2 -
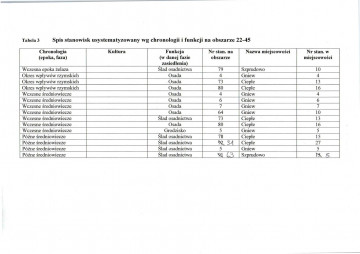
chr - spis stanowisk wg chronologii i funkcji
2 -
sar - spis stanowisk archiwalnych
2 -
spr - sprawozdanie z badań
1 -
sin - spis stanowisk inny
1 -
alf - spis stanowisk alfabetyczny
2