Zabytek.pl
KEZA
osada, obozowisko
Obszar AZP: 052-046
Nr stanowiska na obszarze: 61
Nr stanowiska w miejscowości: 7
Data dokumentu: 2014-05-08
Zasób: Ewidencja zabytków archeologicznych
Identyfikator: PL.1.9.ZIPOZ.NID_A_04_EA.436607
Dodaj do kolekcji
Obszar AZP: 052-046
Nr stanowiska na obszarze: 61
Nr stanowiska w miejscowości: 7
Data dokumentu: 2014-05-08
Zasób: Ewidencja zabytków archeologicznych
Identyfikator: PL.1.9.ZIPOZ.NID_A_04_EA.436607
Licencje
domena publiczna Aby dodawać lub przeglądać notatki musisz się zalogować.
Nie masz jeszcze konta? Zarejestruj się
-
KEZA
2 -
KEZA
2 -
sprawozdanie z badań
2 -
spis stanowisk wg chronologii i funkcji
4 -
spis stanowisk inny
2 -
rysunek/fotografia zabytków ruchomych
1 -
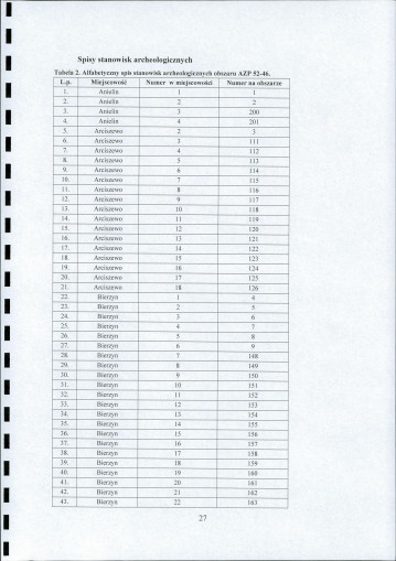
spis stanowisk alfabetyczny
6 -
spis stanowisk wg numerów na obszarze
32 -
spis stanowisk archiwalnych
11 -
spis stanowisk wg chronologii i funkcji
24 -
inna
32 -
sprawozdanie z badań
26 -
mapa obszaru AZP 1:25 000
1 -
mapa obszaru AZP 1:25 000
1