Zabytek.pl
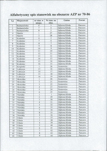
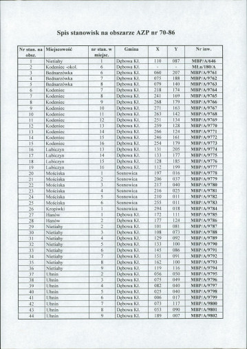
spis stanowisk wg numerów na obszarze
Obszar AZP: 070-086
Data dokumentu: 2001-04-19
Zasób: Ewidencja zabytków archeologicznych
Identyfikator: PL.1.9.ZIPOZ.NID_A__EA.464552
Dodaj do kolekcji
Data dokumentu: 2001-04-19
Zasób: Ewidencja zabytków archeologicznych
Identyfikator: PL.1.9.ZIPOZ.NID_A__EA.464552
Licencje
domena publiczna Aby dodawać lub przeglądać notatki musisz się zalogować.
Nie masz jeszcze konta? Zarejestruj się