Zabytek.pl
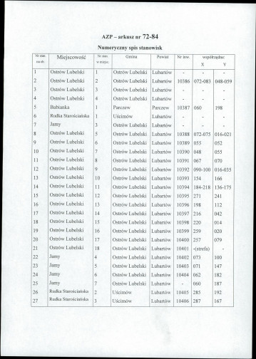
mapa obszaru AZP 1:25 000
Obszar AZP: 072-084
Data dokumentu: 2000-04-15
Zasób: Ewidencja zabytków archeologicznych
Identyfikator: PL.1.9.ZIPOZ.NID_A__EA.24307
Dodaj do kolekcji
Data dokumentu: 2000-04-15
Zasób: Ewidencja zabytków archeologicznych
Identyfikator: PL.1.9.ZIPOZ.NID_A__EA.24307
Licencje
domena publiczna Aby dodawać lub przeglądać notatki musisz się zalogować.
Nie masz jeszcze konta? Zarejestruj się