Zabytek.pl
mapa inna
Obszar AZP: 069-070
Data dokumentu: 2015-11-01
Zasób: Ewidencja zabytków archeologicznych
Identyfikator: PL.1.9.ZIPOZ.NID_A__EA.450862
Dodaj do kolekcji
Data dokumentu: 2015-11-01
Zasób: Ewidencja zabytków archeologicznych
Identyfikator: PL.1.9.ZIPOZ.NID_A__EA.450862
Licencje
domena publiczna Aby dodawać lub przeglądać notatki musisz się zalogować.
Nie masz jeszcze konta? Zarejestruj się
-
KEZA
2 -
rysunek/fotografia zabytków ruchomych
4 -
sprawozdanie z badań
9 -
spis stanowisk wg numerów na obszarze
2 -
spis stanowisk alfabetyczny
1 -
mapa inna
2
-
spis stanowisk archiwalnych
1
-
spis stanowisk wg chronologii i funkcji
2 -
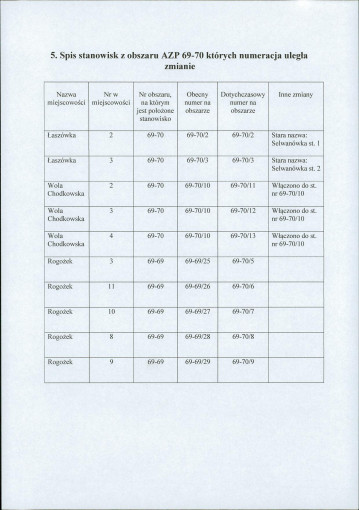
spis stanowisk, których numeracja uległa zmianie
1 -
inna
1 -
mapa obszaru AZP 1:25 000
1