Zabytek.pl
spis stanowisk wg chronologii i funkcji
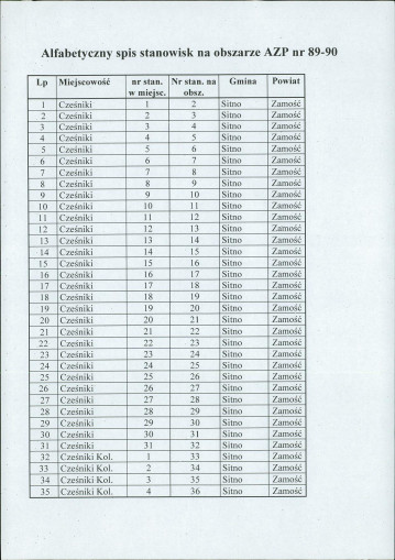
Obszar AZP: 089-090
Data dokumentu: 1999-04-19
Zasób: Ewidencja zabytków archeologicznych
Identyfikator: PL.1.9.ZIPOZ.NID_A__EA.862903
Dodaj do kolekcji
Data dokumentu: 1999-04-19
Zasób: Ewidencja zabytków archeologicznych
Identyfikator: PL.1.9.ZIPOZ.NID_A__EA.862903
Licencje
domena publiczna Aby dodawać lub przeglądać notatki musisz się zalogować.
Nie masz jeszcze konta? Zarejestruj się