Zabytek.pl
inna
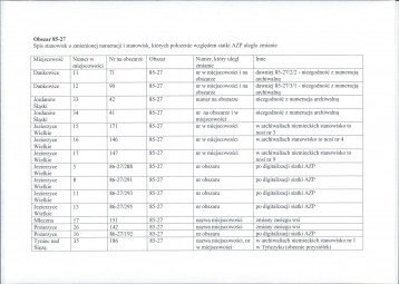
Obszar AZP: 085-027
Data dokumentu: 2016-12-06
Zasób: Ewidencja zabytków archeologicznych
Identyfikator: PL.1.9.ZIPOZ.NID_A__EA.1064041
Dodaj do kolekcji
Data dokumentu: 2016-12-06
Zasób: Ewidencja zabytków archeologicznych
Identyfikator: PL.1.9.ZIPOZ.NID_A__EA.1064041
Licencje
domena publiczna Aby dodawać lub przeglądać notatki musisz się zalogować.
Nie masz jeszcze konta? Zarejestruj się